藏东南色季拉山不同海拔川滇高山栎叶解剖结构及环境适应性

Anatomical Characteristics and Environmental Adaptability of Quercus aquifolioides Leaf in Sejila Mountain, Southeastern Tibet

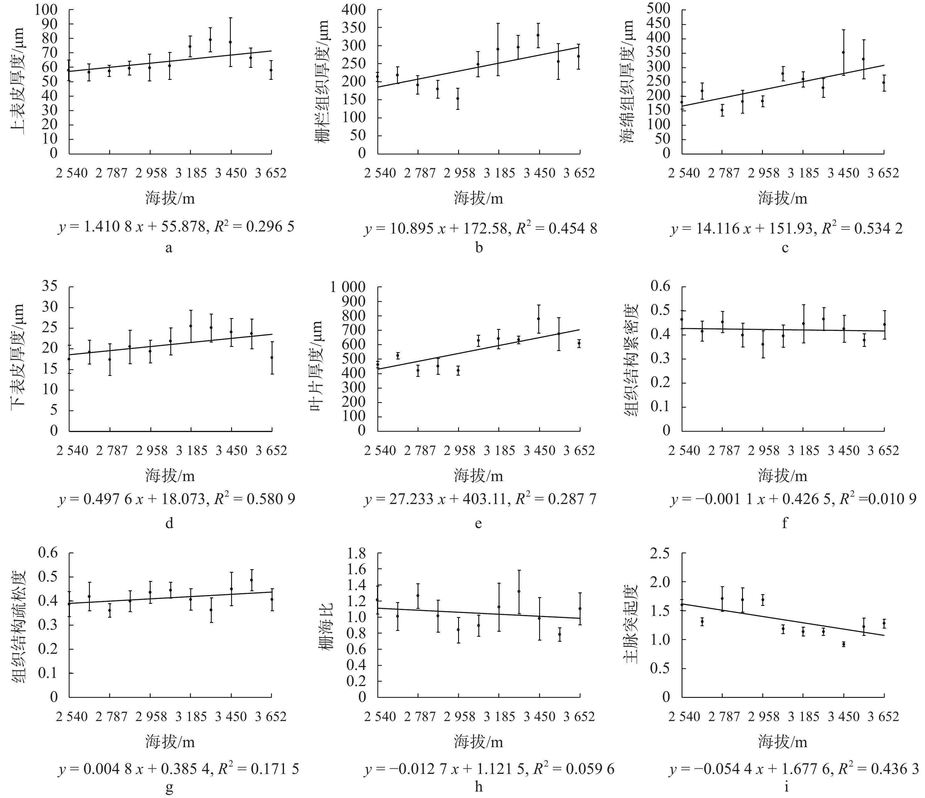
  • 摘要: 为探索藏东南色季拉山川滇高山栎叶片解剖结构在海拔梯度上的变化趋势和环境适应性,以藏东南色季拉山11个不同海拔梯度的川滇高山栎叶片为试验材料,采用石蜡切片技术探究川滇高山栎叶片对高寒环境的适应性。结果表明:川滇高山栎叶片为异面叶,上表皮有明显的角质层,下表皮有表皮毛,栅栏组织细胞2~3层;随着海拔的升高,叶片上下表皮厚度、栅栏组织厚度、海绵组织厚度、叶片厚度呈现增大趋势,而组织结构紧密度、主脉突起度和组织结构疏松度呈现下降趋势;可塑性指数分析表明,川滇高山栎在解剖结构上表现出较小的可塑性,对外界环境的适应能力较弱;相关性分析结果表明,除海绵组织厚度与栅栏组织厚度、组织结构疏松度与组织结构紧密度之间差异不显著以外,其余各指标之间均呈显著相关性。

     

    Abstract: This article is to understand the changes in leaf anatomy of Quercus aquifolioides in Sejila Mountain, Southeastern Tibet, and their environmental adaptability under different altitude gradients. Paraffin section method are used to determine anatomical features of leaves of Q. aquifolioides collected from 11 altitudinal gradients. The results showed that leaves of Q. aquifolioides are heterohedral, the upper epidermis has obvious cuticle, the lower epidermis has epidermis, and the palisade tissue cells have 2–3 layers; with the increase of altitude, the thickness of leaf, upper epidermis, lower epidermis, palisade tissue and spongy tissue increased, but tightness of leaf palisade tissue, looseness of leaf spongy tissue, midrib protrusion vein decreased; plasticity index analysis showed that Q. aquifolioides had lower plasticity in leaf anatomy, representing weak adaptability to the environment; correlation analysis of Q. aquifolioides showed that there was no significant difference between the thickness of palisade tissue and thickness of spongy tissue, between the looseness of leaf spongy tissue and tightness of leaf palisade tissue, but there was significant correlation between the other indexes.

     

/

返回文章
返回